Definiţie[]
Un vector este un segment de dreaptă orientat, având o origine (punct de aplicaţie) si extremitate , o direcţie, un sens şi o lungime proporţională cu modulul mărimii vectoriale. Notăm vectorul a cu
Componentele vectorilor[]
O mărime vectorială poate fi înlocuită cu alte două sau
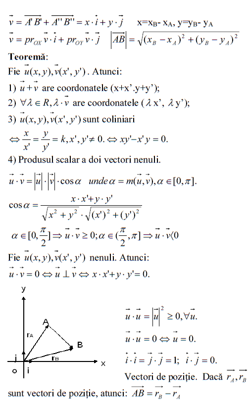
Proiecţiile vectorilor[]
Dacă se doreşte să se descompună un vector dat pe două direcţii impuse, de obicei ortogonale se proiectează vectorul pe direcţiile impuse prin coborârea de perpendiculare, din vârful vectorului, pe cele două axe. Astfel, din vârful vectorului se duce câte o perpendiculară pe axele Ox şi Oy, determinând cele două proiecţii şi ale vectorului .
Cunoscând valoarea unghiului se poate scrie:
Compunerea sau adunarea vectorilor reprezintă opetaţia de găsire a unui vector care să aibă acelaşi efect ca şi ansamblul vectorilor pe ca îi adunăm, care se numeşte rezultantă a vectorilor însumaţi.
Metoda paralelogramului presupune obţinerea rezultantei prin trasarea de paralele prin vârful vectorilor şi iar diagonala, ce trece prin originea comună a vectorilor daţi, reprezintă rezultanta Modulul rezultantei se calculează cu ajutorul teoremei lui Pitagora generalizată:
Metoda triunghiului se realizează prin desenarea în vârful vectorului un vector echipolent al vectorului ş.a.m.d. Prin desenarea unui vector din originea primului vector şi vârful ultimului vector se obţine rezultanta
Aplicaţii:[]
1. Să se găsească vectorul situat în planul Oyz, de lungime egală cu 10 şi perpendicular pe vectorul:
Soluţie
Vectorul cerut fiind în planul Oyz are
Modulul:
Deoarece cei doi vectori sunt perpendicular, produsul lor scalar este nul:
Avem de rezolvat urmmatorul sistem de ecuaţii
Rezultă:
Vezi şi[]
Resurse[]
- Curs
- Zeppelin
- Vectors
- Vectori liberi
- Partea I
- Partea II (exerciţii)
- Math Tutorial
- Mathe-Online.at
- VECTORI ÎN PLAN ŞI SPAŢIU
- MeditatiiOnline.ro
- Vektoranalysis
* English



