Sign In
Register
Math Wiki
Explore
Main Page
All Pages
Community
Interactive Maps
Recent Blog Posts
Portalul comunității
Sign In
Don't have an account?
Register
Sign In
Menu
Explore
More
Istoric
Advertisement
Skip to content
Math Wiki
1.067
pages
Explore
Main Page
All Pages
Community
Interactive Maps
Recent Blog Posts
Portalul comunității
in:
Vectori
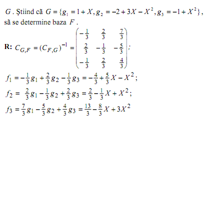
Trecerea de la o bază la alta a unui spațiu vectorial
Sign in to edit
Istoric
Purge
Talk (0)
Vezi şi
[
]
Dependenţă liniară a unui sistem de vectori
Bază a unui spaţiu vectorial
Subspaţiu vectorial
Resurse
[
]
Paul's Online Math Notes
Advertisement