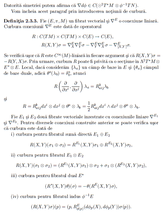
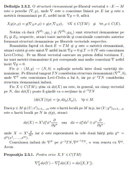
Math Wiki

O altă noţiune importantă în geometria diferenţială modernă este cea de fibrat vectorial. Teoria aplicaţiilor armonice, ca şi alte teorii, este dezvoltată în cadrul acestui formalism. În acest articol vom prezenta, pe scurt, câteva aspecte legate de fibratele vectoriale ce vor servi la studiul aplicaţiilor armonice.

Definiţia 1. Fie E şi M varietăţi diferenţiale, iar o aplicaţie netedă şi surjectivă. Tripletul se numeşte fibrat vectorial dacă sunt satisfăcute condiţiile:

  i) oricare ar fi admite o structură de spaţiu vectorial de dimensiune n (n este acelaşi pentru fiecare ). cu structura de spaţiu vectorial se notează sau sau dacă nu este pericol de confuzie.

  ii) oricare ar fi există U deschisă în M, şi există difeomorfism astfel încât:

    a) oricare ar fi şi oricare ar fi adică

    b) oricare ar fi este un izomorfism liniar între cu structura uzuală de spaţiu vectorial şi


Varietatea E se numeşte varietate totală, M se numeşte varietate bază, se numeşte aplicaţia proprie, este fibra din p, iar se numeşte fibrat vectorial trivial.


Notăm că aplicaţia proiecţie este o submersie, iar (dacă este o hartă locală pe M iar este o hartă vectorială pe M, atunci este o hartă locală pe E).


Definiţia 2. O aplicaţie netedă se numeşte secţiune a lui sau E, dacă


Mulţimea secţiunilor se notează sau se organizează ca spaţiu vectorial infinit dimensional.


Exemplul 1 (Fibratul vectorial trivial) Produsul reprezintă un fibrat vectorial trivial. Într-adevăr, aplicaţia proiecţie este proiecţia pe primul factor iar structura de spaţiu vectorial a fibrei este dată de:

Harta vectorială este


Exemplul 2 (Fibratul tangent) Ştim că se poate organiza ca o varietate diferenţială de dimensiune 2m, unde cu am notat spaţiul tangent la M în Tripletul unde este proiecţia canonică, reprezintă un fibrat vectorial: pe considerăm structura de spaţiu vectorial uzuală, iar dacă este o hartă locală pe M atunci:

reprezintă o hartă vectorială.

Analog, reprezintă un fibrat vectorial.

Fibrat vectorial 1 Fibrat vectorial 2 Fibrat vectorial 3 Fibrat vectorial 4 Fibrat vectorial 5 Fibrat vectorial 6 Fibrat vectorial 7 Fibrat vectorial 8 Fibrat vectorial 9 Fibrat vectorial 10

Resurse[]