Math Wiki
James Clerk Maxwell

James Clerk Maxwell

A nu se confunda cu relațiile lui Maxell din termodinamică.

Forma microscopică[]

Nume Forma diferenţială Forma integrală
Legea lui Gauss
Legea lui Gauss pentru magnetism
Legea Faraday
Legea lui Ampère

Forma macroscopică[]

Nume Forma diferenţială Forma integrală
Legea lui Gauss
Legea lui Gauss pentru magnetism
Ecuaţia Maxwell–Faraday (a inducţiei)
Legea lui Ampère

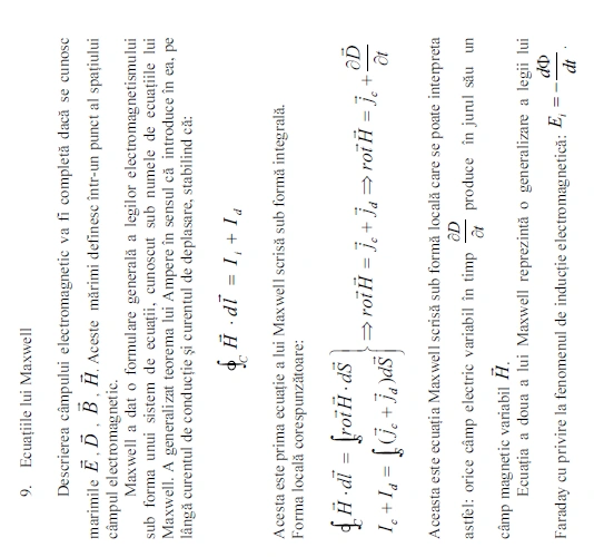
Ecuatiile Maxwell 1 Ecuatiile Maxwell 2 Ecuatiile Maxwell 3 Ecuatiile Maxwell 4 Ecuatiile Maxwell 5 Ecuatiile Maxwell 6 Ecuatiile Maxwell 7



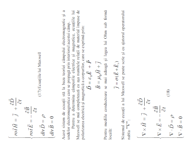
Ecuatiile Maxwell 8 Ecuatiile Maxwell 9 Ecuatiile Maxwell 10

Vezi şi[]

Resurse[]