Math Wiki

DEFINIŢIA 1. Fie un spaţiu vectorial. Un sistem finit de vectori din V se numeşte liniar independent dacă:

cu proprietatea:

rezultă


DEFINIŢIA 2. Fie un spaţiu vectorial. Un sistem finit de vectori din V se numeşte liniar dependent dacă există scalarii nu toţi nuli, astfel încât:


Propoziţia 1. Un sistem de vectori din spaţiul vectorial este liniar independent dacă şi numai dacă rangul matricei având pe coloane vectorii sistemului este egal cu numărul de vectori.


Propoziţia 2. Sistemul este liniar dependent dacă şi numai dacă cel puţin un vector din sistem este o combinaţie liniară a celorlalţi.


Propoziţia 3. Orice subsistem al unui sistem de vectori liniar independent este liniar independent.


Propoziţia 4. Orice suprasistem al unui sistem de vectori liniar dependent este liniar dependent.


Propoziţia 5. Orice sistem de vectori care conţine vectorul nul este liniar dependent.

Vect lin indep


PROBLEME REZOLVATE

1. Se consideră vectorii

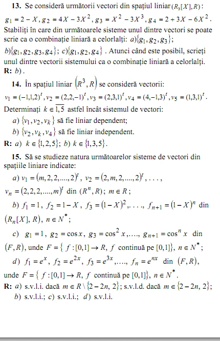
din spaţiul liniar

a) Să se arate că vectorii sunt liniar dependenţi.
b) Să se determine o relaţie de dependenţă liniară între
c) Să se precizeze care dintre vectori se poate scrie ca o combinaţie liniară a celorlalţi.


Rezolvare:

a) Conform definţiei 2, trebuie să arătăm că există scalarii nu toţi nuli, astfel încât

Înlocuind în această relaţie, rezultă:

şi obţinem sistemul liniar omogen:

Determinantul matricei sistemului este prin urmare sistemul admite şi soluţii nebanale, deci există nu toţi nuli, astfel încât

Conform definiţiei 2, rezultă că vectorii sunt liniar dependenţi.

b) O relaţie de dependenţă între vectorii este o relaţie de forma:

cu nu toţi nuli. Rezolvăm sistemul liniar omogen obţinut la punctul a).


Considerăm necunoscute principale şi necunoscută secumdară şi obţinem:

prin urmare soluţia sistemului este: iar o relaţie de dependenţă liniară între cei trei vectori este: sau, după simplificare,

c) Deoarece vectorii sunt liniar dependenţi, conform propoziţiei 2 rezultă că

cel puţin un vector se poate scrie ca o combinaţie liniară a celorlalţi. Din relaţia de dependenţă liniară găsită la punctul b) rezultă că oricare dintre vectori se poate scrie ca o combinaţie liniară a celorlalţi, astfel:


2.a) Să se arate că vectorii:

din spaţiul liniar sunt liniar independenţi.

b) Să se precizeze dacă vectorul

se poate scrie ca o combinaţie liniară a celorlalţi vectori.


Rezolvare:

a) Conform definiţiei 1, trebuie să arătăm că oricare ar fi scalarii astfel încât rezultă că

Înlocuind în relaţia de mai sus, obţinem:

şi rezultă sistemul liniar omogen:


Determinantul matricei sistemului este prin urmare sistemul admite numai soluţia banală:

Conform definiţiei 1, rezultă că vectorii sunt liniar independenţi.

 b) Observaţie. Din propoziţia 2 rezultă că într-un sistem de vectori liniar independent niciunul dintre vectori nu se poate scrie ca o combinaţie liniară dintre ceilalţi.

Deoarece vectorii sunt liniar independenţi, rezultă că nu se poate scrie ca o combinaţie liniară a vectorilor şi


 3.Să se studieze natura următoarelor sisteme de vectori din spaţiile liniare indicate:

 a) din

 b) din

 c) din

Rezolvare:

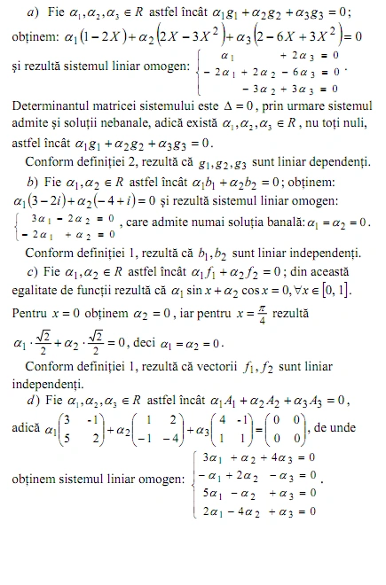
 a) Metoda I (folosind definiţia). Fie astfel încât Rezultă că:

şi obţinem sistemul liniar omogen:

  

Matricea sistemului este şi are rangul 2, mai mic decât numărul de necunoscute, prin urmare sistemul este compatibil nedeterminat, deci admite şi soluţii nebanale, adică există nu toţi nuli, astfel încât:

   Conform definiţiei 2, rezultă că este un sistem de vectori liniar dependent.


Metoda II (folosind propoziţia 1).

Fie A matricea formată cu componentele vectorilor:

  

avem că şi este diferit de numărul de vectori din sistem, prin urmare este un sistem de vectori liniar dependent.


 b) Metoda I (folosind definiţia). Fie astfel încât Rezultă că:

   şi obţinem sistemul liniar omogen:

  

Rangul matricei sistemului este egal cu 2, egal cu numărul de necunoscute, prin urmare sistemul este compatibil determinat, deci admite numai soluţia banală:

Conform definiţiei 1, rezultă că este un sistem de vectori liniar independent.

Spatiu vectorial 10

Spatiu vectorial 11

Spatiu vectorial 12

Spatiu vectorial 13

Spatiu vectorial 14

Spatiu vectorial 15

Spatiu vectorial 16

Spatiu vectorial 17

Spatiu vectorial 18

Spatiu vectorial 19

Spatiu vectorial 20

Spatiu vectorial 21

Spatiu vectorial 22

Spatiu vectorial 23

Spatiu vectorial 24

Spatiu vectorial 25

Spatiu vectorial 26

Spatiu vectorial 27

Spatiu vectorial 28

Spatiu vectorial 29

Vezi şi[]

Resurse[]